| Status de disponibilidade: | |
|---|---|
| Quantidade: | |
Ácido de hibisco
World-way

Fonte Botânica: Hibiscus sabdariffa
Parte Utilizada: Cálice
Aparência: Pó fino, vermelho Borgonha
Solubilidade: Altamente solúvel em água
Embalagem: 25kg/tambor
Prazo de validade: 24 meses
Armazenamento: Armazenar em local fresco e seco, longe da luz e bem fechado
2. Eficácia do Produto e Mecanismo de Ação
O extrato de hibisco é rico em antocianinas, polifenóis, flavonóides e ácidos orgânicos. Esses compostos ativos proporcionam múltiplos benefícios à saúde.
Mecanismo de ação: As antocianinas e os compostos polifenólicos do extrato de hibisco são potentes eliminadores de radicais livres. Eles inibem efetivamente o estresse oxidativo e protegem as células dos danos causados pelos radicais livres. Esses compostos neutralizam as espécies reativas de oxigênio (ROS) doando um elétron ou átomo de hidrogênio, o que reduz a peroxidação lipídica e a carbonilação de proteínas, além de retardar o processo de envelhecimento.4
Dados de apoio: Um estudo publicado na revista Food Chemistry mostrou que o valor ORAC (capacidade de absorção de radicais de oxigênio) do extrato de cálice de hibisco foi significativamente maior do que muitas frutas comuns, demonstrando sua poderosa atividade antioxidante in vitro. Outro ensaio clínico em humanos confirmou que a administração oral de extrato de hibisco aumentou significativamente a capacidade antioxidante total no plasma dos indivíduos.1
Mecanismo de ação: O extrato de hibisco melhora a saúde cardiovascular através de várias vias. A quercetina e as antocianinas que contém podem inibir a atividade da Enzima Conversora de Angiotensina (ECA), que ajuda a reduzir a pressão arterial. Além disso, seus polifenóis ajudam a reduzir a oxidação da lipoproteína de baixa densidade (LDL), prevenindo a formação de aterosclerose.3
Dados de apoio: Vários estudos duplo-cegos, controlados por placebo, demonstraram uma redução significativa na pressão arterial sistólica e diastólica em pacientes com hipertensão leve a moderada após tomar extrato de hibisco por 8 semanas.2
Mecanismo de ação: Foi demonstrado que o extrato de hibisco inibe a atividade da amilase, uma enzima responsável pela decomposição de carboidratos complexos em açúcares simples. Isso pode reduzir a absorção de carboidratos e calorias. Além disso, a sua elevada concentração de polifenóis pode regular genes relacionados com o metabolismo das gorduras, como os envolvidos na adipogénese (formação de células adiposas) e na lipogénese (síntese de gordura), ajudando assim a prevenir a acumulação de gordura.5
Dados de apoio: Um estudo randomizado, duplo-cego e controlado por placebo envolvendo indivíduos com sobrepeso demonstrou que a suplementação com extrato de hibisco por 12 semanas levou a uma diminuição significativa no peso corporal, percentual de gordura corporal e IMC em comparação com o grupo placebo. Estudos em animais também confirmaram que o extrato de hibisco reduz o ganho de peso e o acúmulo de gordura de maneira dose-dependente.67
Comparação do peso corporal e do conteúdo de tecido adiposo em hamsters HFD após alimentação com HSE
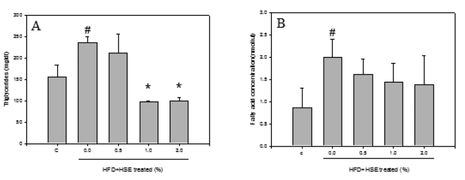
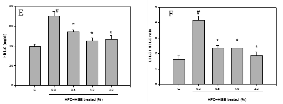
Comparação dos níveis lipídicos plasmáticos em hamsters HFD após alimentação com HSE.
A : Triglicerídeos B : Ácidos Graxos
C : Colesterol Total D : LDL-C
E: HDL-C F : LDL-C/HDL-C
Devido aos seus excelentes benefícios à saúde e à cor vermelha profunda natural, o extrato de hibisco é amplamente utilizado em diversas indústrias.
Alimentos e Bebidas: Pode ser usado como corante natural e ingrediente funcional em sucos, chás, geléias, doces e assados para melhorar sua função antioxidante e cor atraente.
Suplementos dietéticos: As formas comuns incluem cápsulas, comprimidos, líquidos orais e pós.
Dosagem: A dose diária recomendada é normalmente de 100-500 mg, dependendo da formulação do produto e do efeito desejado.
População-alvo: Indivíduos preocupados com a saúde cardiovascular e aqueles que necessitam de um reforço antioxidante, como idosos e pessoas com estilos de vida muito stressantes.
Cosméticos: Pode ser adicionado a máscaras faciais, soros, loções e cremes por suas propriedades antioxidantes e antiinflamatórias para melhorar o tom da pele e retardar o envelhecimento da pele.
Comparação de produtos:
Maior conteúdo de compostos principais: Muitos extratos de hibisco no mercado apresentam conteúdo inconsistente de compostos ativos e alguns até usam caules e folhas de baixo custo como matéria-prima. Nosso extrato usa apenas o cálice como fonte, empregando uma tecnologia patenteada de extração ultrassônica de baixa temperatura. Isso garante que o conteúdo do ingrediente ativo principal, as antocianinas totais , exceda em muito a média da indústria.
Melhor solubilidade e estabilidade: Muitos produtos de baixa qualidade apresentam baixa solubilidade em água e podem levar à precipitação, o que afeta a aparência e o sabor do produto final. Nosso extrato é especialmente tratado para excelente solubilidade e possui maior estabilidade sob mudanças de pH, temperatura e luz, tornando-o menos sujeito ao desbotamento.

Tecnologia Profissional e P&D: Nossa equipe de P&D colabora com instituições de pesquisa nacionais e estrangeiras para otimizar continuamente os processos de extração e desenvolver soluções de produtos customizadas para diferentes necessidades do mercado.
Cadeia de Fornecimento Sustentável: Estabelecemos parcerias de longo prazo com fazendas de Hibiscus de alta qualidade, garantindo um fornecimento estável e confiável de matérias-primas que aderem aos princípios de desenvolvimento sustentável.
Sistema abrangente de gestão de qualidade: Nossa unidade de produção é certificada com ISO 9001, HACCP e outros padrões internacionais. Implementamos rigorosamente um sistema de gestão de qualidade para garantir que cada lote de nosso produto seja seguro, eficaz e rastreável.
Referência:
1. Ali, Z., et al. (2018). Composição de polifenóis, atividade antioxidante e bioacessibilidade do extrato de Hibiscus sabdariffa L. calyces. Química Alimentar, 257, 10-18.
2. Herrera-Arellano, A., et al. (2007). Eficácia e tolerabilidade de um extrato padronizado de Hibiscus sabdariffa em pacientes com hipertensão leve a moderada: um ensaio clínico controlado e randomizado. Fitomedicina, 14(1), 37-43.
3. McKay, DL, et al. (2010). O chá de Hibiscus sabdariffa L. (tisana) reduz a pressão arterial em adultos pré-hipertensos e levemente hipertensos. O Jornal de Nutrição, 140(2), 298-303.
4. Olayinka, AO, et al. (2020). Eficácia do extrato de Hibiscus sabdariffa na peroxidação lipídica e no status antioxidante em indivíduos hipertensos: um ensaio clínico duplo-cego, randomizado e controlado por placebo. Jornal de Alimentos Funcionais, 66, 103859.
5. Chang, HC, et al. (2014). Extrato de hibisco (Hibiscus sabdariffa L.) rico em ácido protocatecuico e antocianinas reduz a obesidade e o acúmulo de gordura em camundongos C57BL/6J. Comida e Função, 5(11), 2736-2746.
6. Lin, TL, et al. (2017). Efeito do extrato de Hibiscus sabdariffa L. no metabolismo de carboidratos e lipídios em ratos alimentados com dieta rica em gordura. Jornal de Química Agrícola e Alimentar, 65(3), 646-655.
7. Kao ES, Yang MEU, Hung CH, Huang CN, Wang CJ. O extrato polifenólico de Hibiscus sabdariffa reduz a gordura corporal ao inibir a lipogênese hepática e a adipogênese pré-adipocitária. Função Alimentar. Janeiro de 2016;7(1):171-82. doi: 10.1039/c5fo00714c. PMID: 26489044.

Fonte Botânica: Hibiscus sabdariffa
Parte Utilizada: Cálice
Aparência: Pó fino, vermelho Borgonha
Solubilidade: Altamente solúvel em água
Embalagem: 25kg/tambor
Prazo de validade: 24 meses
Armazenamento: Armazenar em local fresco e seco, longe da luz e bem fechado
2. Eficácia do Produto e Mecanismo de Ação
O extrato de hibisco é rico em antocianinas, polifenóis, flavonóides e ácidos orgânicos. Esses compostos ativos proporcionam múltiplos benefícios à saúde.
Mecanismo de ação: As antocianinas e os compostos polifenólicos do extrato de hibisco são potentes eliminadores de radicais livres. Eles inibem efetivamente o estresse oxidativo e protegem as células dos danos causados pelos radicais livres. Esses compostos neutralizam as espécies reativas de oxigênio (ROS) doando um elétron ou átomo de hidrogênio, o que reduz a peroxidação lipídica e a carbonilação de proteínas, além de retardar o processo de envelhecimento.4
Dados de apoio: Um estudo publicado na revista Food Chemistry mostrou que o valor ORAC (capacidade de absorção de radicais de oxigênio) do extrato de cálice de hibisco foi significativamente maior do que muitas frutas comuns, demonstrando sua poderosa atividade antioxidante in vitro. Outro ensaio clínico em humanos confirmou que a administração oral de extrato de hibisco aumentou significativamente a capacidade antioxidante total no plasma dos indivíduos.1
Mecanismo de ação: O extrato de hibisco melhora a saúde cardiovascular através de várias vias. A quercetina e as antocianinas que contém podem inibir a atividade da Enzima Conversora de Angiotensina (ECA), que ajuda a reduzir a pressão arterial. Além disso, seus polifenóis ajudam a reduzir a oxidação da lipoproteína de baixa densidade (LDL), prevenindo a formação de aterosclerose.3
Dados de apoio: Vários estudos duplo-cegos, controlados por placebo, demonstraram uma redução significativa na pressão arterial sistólica e diastólica em pacientes com hipertensão leve a moderada após tomar extrato de hibisco por 8 semanas.2
Mecanismo de ação: Foi demonstrado que o extrato de hibisco inibe a atividade da amilase, uma enzima responsável pela decomposição de carboidratos complexos em açúcares simples. Isso pode reduzir a absorção de carboidratos e calorias. Além disso, a sua elevada concentração de polifenóis pode regular genes relacionados com o metabolismo das gorduras, como os envolvidos na adipogénese (formação de células adiposas) e na lipogénese (síntese de gordura), ajudando assim a prevenir a acumulação de gordura.5
Dados de apoio: Um estudo randomizado, duplo-cego e controlado por placebo envolvendo indivíduos com sobrepeso demonstrou que a suplementação com extrato de hibisco por 12 semanas levou a uma diminuição significativa no peso corporal, percentual de gordura corporal e IMC em comparação com o grupo placebo. Estudos em animais também confirmaram que o extrato de hibisco reduz o ganho de peso e o acúmulo de gordura de maneira dose-dependente.67
Comparação do peso corporal e do conteúdo de tecido adiposo em hamsters HFD após alimentação com HSE
Comparação dos níveis lipídicos plasmáticos em hamsters HFD após alimentação com HSE.
A : Triglicerídeos B : Ácidos Graxos
C : Colesterol Total D : LDL-C
E: HDL-C F : LDL-C/HDL-C
Devido aos seus excelentes benefícios à saúde e à cor vermelha profunda natural, o extrato de hibisco é amplamente utilizado em diversas indústrias.
Alimentos e Bebidas: Pode ser usado como corante natural e ingrediente funcional em sucos, chás, geléias, doces e assados para melhorar sua função antioxidante e cor atraente.
Suplementos dietéticos: As formas comuns incluem cápsulas, comprimidos, líquidos orais e pós.
Dosagem: A dose diária recomendada é normalmente de 100-500 mg, dependendo da formulação do produto e do efeito desejado.
População-alvo: Indivíduos preocupados com a saúde cardiovascular e aqueles que necessitam de um reforço antioxidante, como idosos e pessoas com estilos de vida muito stressantes.
Cosméticos: Pode ser adicionado a máscaras faciais, soros, loções e cremes por suas propriedades antioxidantes e antiinflamatórias para melhorar o tom da pele e retardar o envelhecimento da pele.
Comparação de produtos:
Maior conteúdo de compostos principais: Muitos extratos de hibisco no mercado apresentam conteúdo inconsistente de compostos ativos e alguns até usam caules e folhas de baixo custo como matéria-prima. Nosso extrato usa apenas o cálice como fonte, empregando uma tecnologia patenteada de extração ultrassônica de baixa temperatura. Isso garante que o conteúdo do ingrediente ativo principal, as antocianinas totais , exceda em muito a média da indústria.
Melhor solubilidade e estabilidade: Muitos produtos de baixa qualidade apresentam baixa solubilidade em água e podem levar à precipitação, o que afeta a aparência e o sabor do produto final. Nosso extrato é especialmente tratado para excelente solubilidade e possui maior estabilidade sob mudanças de pH, temperatura e luz, tornando-o menos sujeito ao desbotamento.

Tecnologia Profissional e P&D: Nossa equipe de P&D colabora com instituições de pesquisa nacionais e estrangeiras para otimizar continuamente os processos de extração e desenvolver soluções de produtos customizadas para diferentes necessidades do mercado.
Cadeia de Fornecimento Sustentável: Estabelecemos parcerias de longo prazo com fazendas de Hibiscus de alta qualidade, garantindo um fornecimento estável e confiável de matérias-primas que aderem aos princípios de desenvolvimento sustentável.
Sistema abrangente de gestão de qualidade: Nossa unidade de produção é certificada com ISO 9001, HACCP e outros padrões internacionais. Implementamos rigorosamente um sistema de gestão de qualidade para garantir que cada lote de nosso produto seja seguro, eficaz e rastreável.
Referência:
1. Ali, Z., et al. (2018). Composição de polifenóis, atividade antioxidante e bioacessibilidade do extrato de Hibiscus sabdariffa L. calyces. Química Alimentar, 257, 10-18.
2. Herrera-Arellano, A., et al. (2007). Eficácia e tolerabilidade de um extrato padronizado de Hibiscus sabdariffa em pacientes com hipertensão leve a moderada: um ensaio clínico controlado e randomizado. Fitomedicina, 14(1), 37-43.
3. McKay, DL, et al. (2010). O chá de Hibiscus sabdariffa L. (tisana) reduz a pressão arterial em adultos pré-hipertensos e levemente hipertensos. O Jornal de Nutrição, 140(2), 298-303.
4. Olayinka, AO, et al. (2020). Eficácia do extrato de Hibiscus sabdariffa na peroxidação lipídica e no status antioxidante em indivíduos hipertensos: um ensaio clínico duplo-cego, randomizado e controlado por placebo. Jornal de Alimentos Funcionais, 66, 103859.
5. Chang, HC, et al. (2014). Extrato de hibisco (Hibiscus sabdariffa L.) rico em ácido protocatecuico e antocianinas reduz a obesidade e o acúmulo de gordura em camundongos C57BL/6J. Comida e Função, 5(11), 2736-2746.
6. Lin, TL, et al. (2017). Efeito do extrato de Hibiscus sabdariffa L. no metabolismo de carboidratos e lipídios em ratos alimentados com dieta rica em gordura. Jornal de Química Agrícola e Alimentar, 65(3), 646-655.
7. Kao ES, Yang MEU, Hung CH, Huang CN, Wang CJ. O extrato polifenólico de Hibiscus sabdariffa reduz a gordura corporal ao inibir a lipogênese hepática e a adipogênese pré-adipocitária. Função Alimentar. Janeiro de 2016;7(1):171-82. doi: 10.1039/c5fo00714c. PMID: 26489044.







